Lecture14
lecture 14: Maxwell's Equations and EM Waves
过去的章节
在之前的讨论中,电磁学的四大天王是这样的:

他们分别描述了电场和磁场的散度、旋度
然而,这里竟然藏着一个巨大的漏洞!
我们对法拉第电磁感应定律两边求散度 $$ \nabla\cdot\left(\nabla\times\vec{E}\right)=\nabla\cdot\left(-\frac{\partial\vec{B}}{\partial t}\right)=-\frac{\partial}{\partial t}\left(\nabla\cdot\vec{B}\right) $$ 由于磁场的散度恒为 0,所以上式也理应恒等于 0. 事实上旋度的散度为 0 也是一个数学恒等式。
然而,当我们对安培环路定理做同样的操作时 $$ \nabla\cdot\left(\nabla\times\vec{B}\right)=\nabla\cdot\left(\mu_0\vec{J}\right)=\mu_0(\nabla\cdot\vec{J}) $$ 问题出现了,右边却并不恒等于 0!
进一步,应用连续性方程 \(\nabla\cdot\vec{J}=-\frac{\partial\rho}{\partial t}\) 和高斯定理,得到 $$ \nabla\cdot(\nabla\times\vec{B})=-\mu_0\frac{\partial\rho}{\partial t}=-\mu_0\frac{\partial(\epsilon_0\nabla\cdot\vec{E})}{\partial t}=-\nabla\cdot\left(\mu_0\epsilon_0\frac{\partial\vec{E}}{\partial t}\right) $$ 于是,那个男人说,只要把安培环路定理小修一下: $$ \nabla\times\vec{B}=\mu_0\vec{J}+\mu_0\epsilon_0\frac{\partial\vec{E}}{\partial t} $$ 称为全电流定律。其中, $$ \vec{J}_d=\epsilon_0\frac{\partial\vec{E}}{\partial t} $$ 称为位移电流(displacement current)
然后就把这个问题优美的解决了
麦克斯韦的修正还体现了一个非常巧妙的对称性,即正如变化的磁场产生电场,变化的电场也能产生磁场。
安培环路定理修正后的全电流定律的积分形式: $$ \oint_C\vec{B}\cdot d\vec{s}=\mu_0(i_{enc}+\int_S\vec{J}_d\cdot d\vec{A}) $$ 我们可以直观地来认识一下位移电流

如图所示,导线接在电容器上,此时电容正在充电。给定安培环路 C(导线周围那一圈),我们应当可以选择任意被 C 所包含的曲面计算电流,并得出相同的结论。
- 取环路 C 所在平面,则通过曲面的电流等于导线上的电流。
- 现在把曲面向左拉开,将其拉出导线与右侧极板,此时该曲面不与任何导线相交,所以通过曲面的电流为 0。但确有电场穿过该曲面,并发生了变化,所以位移电流不为 0,且等于导线上的电流。
位移电流相当于一种假想的电流,它穿过电容器,延续了导线上的电流。
现在让我们正式介绍一下麦克斯韦方程组
我们从两方面完整描述电磁学:
- 电荷产生场
- 场影响电荷

现在你满意了吧?
磁荷
// TODO:
电磁波
波动方程
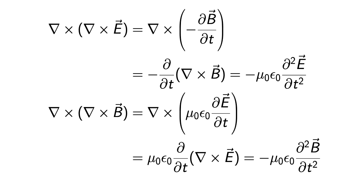
在一块没有电荷或电流的空间,麦克斯韦方程组化为

它们形成了 E 和 B 的一组耦合一阶偏微分方程。我们通过计算旋度的旋度化简
{width="80%"}
再对 nabla 算子应用一下向量三重积 $$ \nabla\times(\nabla\times\vec{C})=\nabla(\nabla\cdot\vec{C})-\nabla^2\vec{C} $$ 其中 \(\nabla^2\vec{C}\) 是拉普拉斯算子,\(\nabla^2=\nabla\cdot\nabla\)
两个高斯定理告诉我们,真空中 \(\nabla\cdot\vec{E}=0\),\(\nabla\cdot\vec{B}=0\),所以 $$ \nabla^2\vec{E}=\mu_0\epsilon_0\frac{\partial^2\vec{E}}{\partial t^2},\quad \nabla^2\vec{B}=\mu_0\epsilon_0\frac{\partial^2\vec{B}}{\partial t^2} $$ 这意味着 \(\vec{E}\) 和 \(\vec{B}\) 在空间中的每个笛卡尔分量都满足波动方程 $$ \frac{\partial^2 f}{\partial t^2}=c^2\nabla^2 f $$ 于是我们发现,所有电磁波的速度都等于 $$ c=\frac{1}{\sqrt{\mu_0\epsilon_0}}\approx 3.00\times 10^8 m/s $$
电磁波的传播
变化的磁场激发了垂直的电场,变化的电场激发了垂直的磁场,如此往复,形成电磁波。
我们关注平面波方程 $$ f(x,t)=Acos(kx-\omega t+\phi) $$ 其中 \(k\) 是波数,\(\omega\) 是角频率,且 $$ \lambda=\frac{2\pi}{k},\quad T=\frac{2\pi}{\omega} $$ 现在我们利用小学二年级就学过的波动方程的解,写出电场和磁场的一组解 $$ \vec{E}=\vec{E}_m cos(kx-\omega t+\phi),\quad \vec{B}=\vec{B}_m cos(kx-\omega t+\phi) $$ 再根据 \(\frac{\partial^2 f}{\partial t^2}=c^2\nabla^2 f\),所以一定有 \(\omega^2=c^2k^2\),或 \(\omega=ck\)。
此外,麦克斯韦方程组对 \(\vec{E}\) 和 \(\vec{B}\) 还有额外的限制。我们可以推导出以下性质:
1. 横波
计算电场的散度 $$ \nabla\cdot\vec{E}(x,t)=-k\hat{x}\cdot\vec{E}_m\sin(kx-\omega t+\phi) $$ 由高斯定理,\(\nabla\cdot\vec{E}=0\), \(\nabla\cdot\vec{B}=0\), 所以 \((\vec{E}_m)_x=(\vec{B}_m)_x=0\),这说明电磁波是横波。
2. 电场和磁场的方向
计算电场的旋度和磁场关于时间的导数 $$ \begin{align} \nabla\times\vec{E}(x,t)&=-k\hat{x}\times\vec{E}_m\sin(kx-\omega t+\phi)\\ \frac{\partial}{\partial t}\vec{B}(x,t)&=\omega\vec{B}_m\sin(kx-\omega t+\phi) \end{align} $$ 根据法拉第电磁感应定律 \(\nabla\times\vec{E}=-\frac{\partial\vec{B}}{\partial t}\),得到 $$ -k\hat{x}\times\vec{E}_m=-\omega\vec{B}_m $$ 更普遍的,对于传播方向 \(\hat{k}\), $$ \vec{B}=\frac{1}{c}(\hat{k}\times\vec{E}) $$

- 电场和磁场相互垂直
- 利用 \(\vec{E}\times\vec{B}\) 可以得到电磁波的传播方向
电磁波的产生:开放电容

*antenna: 天线
电磁波的能量
// TODO: