Lecture23
lecture 23: Schroedinger’s Equation
薛定谔方程
那么我们如何描述波函数呢? $$ \psi(x, t)=e^{i(kx-\omega t)} $$ 从这个形式出发。
首先,粒子的能量可以表示为 $$ E=\frac{p^2}{2m} $$ 根据德布罗意的假设,我们可以得到 $$ \begin{align} p=\frac{h}{\lambda}=\hbar k=-i\hbar\frac{1}{\psi(x,t)}\frac{\partial\psi(x,t)}{\partial x}\\ p^2=\hbar^2k^2=-\hbar^2\frac{1}{\psi(x,t)}\frac{\partial^2\psi(x,t)}{\partial x^2} \end{align} $$ 类似地, $$ E=\hbar\omega=i\hbar\frac{1}{\psi(x,t)}\frac{\partial\psi(x,t)}{\partial t} $$ 于是,在波函数表示下,能量与动量的关系为 $$ i\hbar\frac{1}{\psi(x,t)}\frac{\partial\psi(x,t)}{\partial t}=-\frac{\hbar^2}{2m}\frac{1}{\psi(x,t)}\frac{\partial^2\psi(x,t)}{\partial x^2} $$ 但还需要加上势能项,即 $$ E=\frac{p^2}{2m}+U(x) $$ 在这里 E 是常数,但 p 却不一定是常数,也就是说,平面波不再是薛定谔方程的解(p 对应 k,即频率会变化)。
最终的一维薛定谔方程为 $$ i\hbar\frac{\partial\psi(x,t)}{\partial t}=-\frac{\hbar^2}{2m}\frac{\partial^2\psi(x,t)}{\partial x^2}+U(x)\psi(x,t) $$
波函数的解
大部分情况下,\(U(x)\) 都与 \(t\) 无关,我们可以将波函数写为 $$ \psi(x,t)=\phi(x)e^{-iEt/\hbar} $$ 代入方程: $$ \left[-\frac{\hbar^2}{2m}\frac{\partial^2}{\partial x^2}+U(x)\right]\phi(x)=E\phi(x) $$ 在自由空间中,即 \(U(x)=0\),通解为 $$ \phi(x)=Ae^{ikx}+Be^{-ikx},\quad k=\sqrt{2mE/}\hbar $$ 这两项分别代表了波函数的左行波和右行波。
再乘上时间项就变成: $$ \psi(x,t)=Ae^{i(kx-\omega t)}+Be^{-i(kx+\omega t)},\quad\omega=E/\hbar $$
波包
量子的速度是多少呢?
如果考虑波前的速度,即相速度,则 $$ v_{ph}=\frac{\omega}{k}=\sqrt{\frac{E}{2m}} $$
这与经典力学中的速度 \(v_{cl}=\sqrt{\frac{2E}{m}}\) 不同。
事实上,一个粒子的状态是由多个静止自由粒子(平面波)的线性叠加来描述的

由于概率在整个空间上的积分为 1,所以 \(\phi(k)\) 必须满足一定条件。
当越来越多的平面波叠加时,波包的形状会逐渐变得尖锐,即粒子的位置逐渐确定,此时 \(\Delta p\) 也不断增大,符合海森堡不确定性原理。
而且波包的群速度 \(v_{group}=\frac{d\omega}{dk}\),正好就是粒子的速度
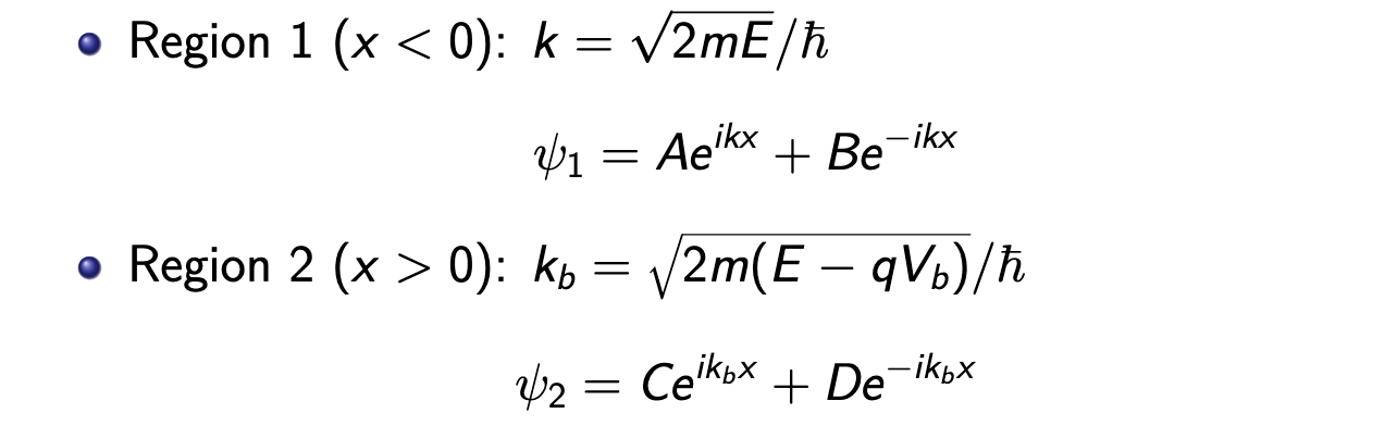
势能阶跃
假设一束电子穿过 \(x=0\) 处的一个势能阶跃,高度为 \(V_b<0\),每个电子的能量为 \(E\)
反射系数
假设\(E>qV_b\),则根据经典力学,电子应该都会穿过阶跃。

在量子力学,我们在两个区域分别应用薛定谔方程,利用 \(x=0\) 处的值与斜率相等的边界条件求解

由于区域 2 中没有电子向左运动,所以 \(D=0\) $$ \begin{align} A+B&=C\\ Ak-Bk&=Ck_b \end{align} $$ 我们可以求出电子反射的概率,定义反射系数 \(R\) 如下: $$ R=\frac{|B|^2}{|A|^2}=\left|\frac{k-k_b}{k+k_b}\right|^2 $$ 这说明,根据量子力学理论,电子不会完全通过阶跃,而是会反射一部分。
透射系数
然后我们用 \(1\) 减去 \(R\) 来求透射系数(注意 \(k\) 和 \(k_b\) 都是复数): $$ \begin{align} T=1-R&=\frac{\left|k+k_b\right|^2-\left|k-k_b\right|^2}{\left|k+k_b\right|^2}\\ &=\frac{4\Re(kk_b^*)}{\left|k+k_b\right|^2} \end{align} $$ 当 \(E>qV_b\) 时,\(k\) 和 \(k_b\) 都是实数,所以 \(T\) 和 \(R\) 都不为 0 ,且 \(T+R=1\). 当 \(E<qV_b\) 时,\(k\) 仍是实数,但 \(k_b\) 是虚数,所以 \(T=0\),\(R=1\),电子全部反射。
流密度
注意到当 \(E>qV_b\) 时, $$ \frac{\left|C\right|^2}{\left|A\right|^2}=\frac{4k^2}{\left|k+k_b\right|^2}=T\frac{k}{k_b} $$ 这里我们考虑电流密度 \(J=nqv\): $$ T=\frac{\left|C\right|^2k_b}{\left|A\right|^2k} =\frac{\left|C\right|^2q\left(\hbar k_b/m\right)}{\left|A\right|^2q\left(\hbar k/m\right)} =\frac{J_{\text{transmitted}}}{J_{\text{incident}}} $$ 同理, $$ R=\frac{\left|B\right|^2k}{\left|A\right|^2k}=\frac{J_{\text{reflected}}}{J_{\text{incident}}} $$ 电流守恒: $$ J_{\text{transmitted}}+J_{\text{reflected}}=J_{\text{incident}} $$
势垒
势垒是一段宽度为 \(L\),势高为 \(V_0\) 的区域,我们仅考虑 \(E<qV_b\) 的情况

事实上,通过计算我们发现,电子出现在势垒另一侧的概率并不为 0.

注意上图展现的是振幅的平方,即概率。
驻波 + 指数衰减 + 恒定的透射流
$$
T\approx e^{-2\kappa L}
$$
其中
$$
\kappa=\frac{\sqrt{2m(qV_b-E)}}{\hbar}
$$
这就是量子隧穿效应